Go Gradually - Repository

  • CS
  • PS
  • Backend
  • 개발
  • GitHub
  • 홈

2025/08/05 1

[밑바닥부터 시작하는 딥러닝] 퍼셉트론

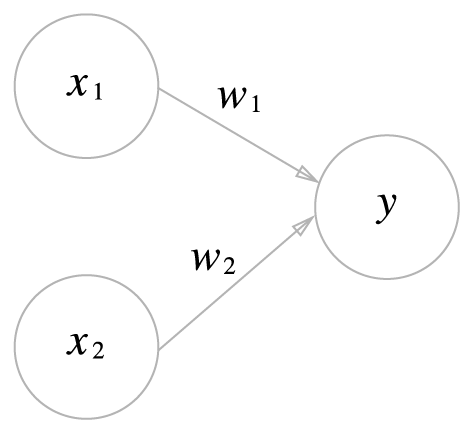
본 내용은 밑바닥부터 시작하는 딥러닝 1도서를 참고하여 작성되었습니다. 밑바닥부터 시작하는 딥러닝 1 - 예스24딥러닝 분야 부동의 베스트셀러!머리로 이해하고 손으로 익히는 가장 쉬운 딥러닝 입문서이 책은 딥러닝의 핵심 개념을 ‘밑바닥부터’ 구현해보며 기초를 한 걸음씩 탄탄하게 다질 수 있도록www.yes24.com 퍼셉트론은 1957년에 고안된 알고리즘으로, 신경망의 기원이 되는 알고리즘이다.퍼셉트론의 구조 학습은 신경망과 딥러닝으로 나아가는 데 중요한 아이디어를 제공한다.퍼셉트론으로 가벼운 문제를 풀어보며 딥러닝의 기초를 다져보자.퍼셉트론이란?퍼셉트론(Perceptron)은 다수의 신호를 입력으로 받아 하나의 신호를 출력하는 개체를 의미한다. 다만, 퍼셉트론에서 이야기하는 "신호"는 0과 1만 가능..

AI Repository/기초 딥러닝 2025.08.05
이전
1
다음
더보기
프로필사진

Go Gradually - Repository

목표: 핀잇 실사용자 1명 이상 확보하기 盡人事待天命

  • 분류 전체보기 (252)
    • Article - 깊게 탐구하기 (46)
      • 도메인 주도 설계 이해하기 (9)
      • 트랜잭션 완전정복 (2)
      • 모-던한 프로그래밍 (2)
      • OS - Deep Dive (6)
      • Network - Deep Dive (4)
      • 개발 꿀팁 (9)
      • 피드 한 줌 (1)
      • 시간 기록, 관리 서비스 Pinit (2)
      • 핀잇 일지 (3)
      • 개인 프로젝트 (3)
      • OpenAI Gym (3)
    • CS Repository (54)
      • 소프트웨어 공학 - Clean Code & Arc.. (4)
      • 객체지향 & Design Pattern + @ (1)
      • 운영체제 - Dinosaur Book + @ (1)
      • DB (2)
      • 네트워크 - Top-down Approach + .. (26)
      • 데이터 중심 애플리케이션 설계 (1)
      • 리팩터링 (4)
      • 엔터프라이즈 애플리케이션 아키텍처 패턴 (3)
      • HTTP 완벽 가이드 (8)
      • 프로그래밍 패러다임 (3)
    • AI Repository (49)
      • 기초 통계학 (13)
      • 기초 딥러닝 (12)
      • 기초 강화학습 (17)
      • DRL (7)
    • WEB BE Repository (33)
      • JAVA (5)
      • Spring (5)
      • JPA (1)
      • AWS (5)
      • 배포 및 운영 (3)
      • 주니어 백엔드 개발자가 반드시 알아야 할 실무 지.. (2)
      • Redis (1)
      • Spring Security (3)
      • RabbitMQ (7)
    • WEB FE Repository (7)
      • React (5)
    • PS (3)
      • 이론 (2)
      • USACO Silver (1)
      • USACO Gold (6)
      • Baekjoon OJ (4)
      • Codeforces (7)
    • 주간 회고 - 체크리스트 (24)
    • 개인적 공간 (16)
      • 방광암 치료 (2)
      • 체스 (1)
      • 독서와 사색 (8)

Tag

Pub-Sub, DQN, LeetCode, prefix sum, 티스토리챌린지, math, 오블완, rabbitmq, 신경망, USACO Gold, Python, binary search, PS, Greedy, 리팩터링, 마틴 파울러, 도메인 이벤트, 누적 합, DRL, DP,

최근글과 인기글

  • 최근글
  • 인기글

최근댓글

공지사항

  • GoGradually 의 Repository 입니다.

Archives

Calendar

«   2025/08   »
일 월 화 수 목 금 토
1 2
3 4 5 6 7 8 9
10 11 12 13 14 15 16
17 18 19 20 21 22 23
24 25 26 27 28 29 30
31

방문자수Total

  • Today :
  • Yesterday :

Copyright © Kakao Corp. All rights reserved.

  • GitHub

티스토리툴바